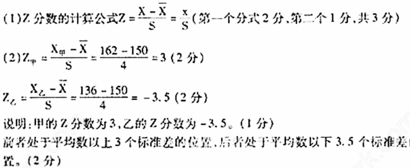
在某项测验中,某幼儿班的平均分数为150分,标准差为4分。幼儿甲的分数为162分,幼儿乙的分数为136分:(1)写出Z分数的计算

作者:高老师 浏览 1

在某项测验中,某幼儿班的平均分数为150分,标准差为4分。幼儿甲的分数为162分,幼儿乙的分数为136分:
(1)写出Z分数的计算公式。
(2)求甲、乙的Z分数分别是多少,说明与平均分数之间的位置关系。
【正确答案】:

📱 扫码体验刷题小程序

微信小程序二维码

扫一扫使用我们的微信小程序

热门题目

已复制到剪贴板