根据某农产品与某肥料使用量之间的实验数据建立的生产函数为 
计算:
(1)当化肥投入量为 2 单位时,化肥投入的产出弹性。
(2)化肥投入多少,可取得最大产量?
【正确答案】:
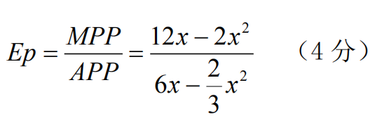
根据产出弹性 Ep 的计算公式:
将 x=2 带入上式,得 Ep=1.71 (2 分)
即当化肥投入量为 2 单位时,化肥投入的产出弹性为 1.71.
(2)根据盈利最大化条件
MPP=12X-2X²=0 (2 分)
解方程可得
X=6
即化肥投入为 6 单位时,可取得最大的产量
根据某农产品与某肥料使用量之间的实验数据建立的生产函数为 
计算:
(1)当化肥投入量为 2 单位时,化肥投入的产出弹性。
(2)化肥投入多少,可取得最大产量?
根据产出弹性 Ep 的计算公式:
将 x=2 带入上式,得 Ep=1.71 (2 分)
即当化肥投入量为 2 单位时,化肥投入的产出弹性为 1.71.
(2)根据盈利最大化条件
MPP=12X-2X²=0 (2 分)
解方程可得
X=6
即化肥投入为 6 单位时,可取得最大的产量
📱 扫码体验刷题小程序
扫一扫使用我们的微信小程序