某企业产品产量与单位成本资料如下:要求:(1)建立单位成本对产量的直线回归方程。(2)指出每当产量增加1万件时,单位成本的变化情

作者:高老师 浏览 2

某企业产品产量与单位成本资料如下:

要求:
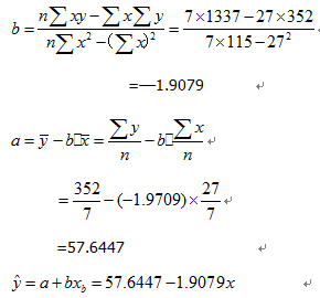
(1)建立单位成本对产量的直线回归方程。
(2)指出每当产量增加1万件时,单位成本的变化情况。(结果保留三位小数)


【正确答案】:
当产量每增加1万件时,单位成本平均降低1.9079元。
【题目解析】:本题考查回归分析。

📱 扫码体验刷题小程序

微信小程序二维码

扫一扫使用我们的微信小程序

热门题目

已复制到剪贴板