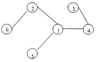
煤气公司欲在某地区各高层住宅楼间敷设煤气管道并与主管道相连。其位置如图,节点代表各住宅楼和主管道位置,线上数字代表两节点间距离(单元:百米)。

如何敷设才能使所用管道最少?
【正确答案】:

【题目解析】:
最小枝杈树算法:按把最近的未接点连接到那些已接点上去的方法来进行的。
(1)任意选一个点,如6:与6距离最近的未连接点为2,连接6——2;
(2)与2距离最近的未连接点为1,连接2——1;
(3)与1距离最近的未连接点为4,连接1——4;
(4)与4距离最近的未连接点为3,连接4——3;
(5)现只剩5未连接,与5距离最近的点为1,连接5——1.
至此所有点都被连接,可得最少管道方案。