翰林刷题,免费考试真题网站!
首页
关于我们
首页
›
分类
› 详情
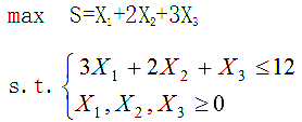
求解线性规划问题:
作者:高老师
时间:2024-07-27
浏览 1
求解线性规划问题:
【正确答案】:
引入松弛变量后得
📱 扫码体验刷题小程序
扫一扫使用我们的微信小程序
热门题目
1958年党的社会主义建设总路线的主要不足之处是()
简述三统一。
美国学者莱曼认为成才的最佳年龄段是( )
________the Smiths have moved away, we can still see them from t
高质量的抵押物不具有的特点为
下列各项中,属于生产费用的有()
与贸易条约相比,涉及面较窄,有效期较短,签订程序也比较简单,一般只需缔约国的行政首 脑或其代表签署即可生效的国际贸易条约是
文件系统的缺点是()
Read the following paragraphs and answer the question. ①Every
在下述哪一类经济特区内不允许货物进行加工()
现象学研究属于( )
食管癌术后护理哪项不对【】
➕
➖
📋
⬆️
已复制到剪贴板