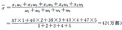
某品牌的一款手机在今年前五个月的月销量依次为:37,40,38,41,47(万部),现设定它们相对应的权数分别为1,2,3,4,

作者:高老师 浏览 0

某品牌的一款手机在今年前五个月的月销量依次为:37,40,38,41,47(万部),现设定它们相对应的权数分别为1,2,3,4,5,试用加权平均数预测法,预测第6个月该款手机的销售量。
【正确答案】:

📱 扫码体验刷题小程序

微信小程序二维码

扫一扫使用我们的微信小程序

热门题目

已复制到剪贴板