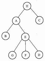
分别给出树的先序遍历、后序遍历、层次遍历的结点访问序列。

【正确答案】:
先序遍历得到结点访问序列为:H, A, B,E, G, F, D, C;
后序遍历得到结点访问序列为:B, G, F, D,E, A, C, H;
层次遍历得到结点访问序列为:H, A, C, B, E, G,F, D。
【题目解析】:

分别给出树的先序遍历、后序遍历、层次遍历的结点访问序列。

先序遍历得到结点访问序列为:H, A, B,E, G, F, D, C;
后序遍历得到结点访问序列为:B, G, F, D,E, A, C, H;
层次遍历得到结点访问序列为:H, A, C, B, E, G,F, D。

📱 扫码体验刷题小程序
扫一扫使用我们的微信小程序