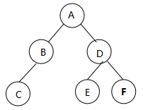
已知一棵二叉树的先序遍历结果为ABCDEF,中序遍历结果为CBAEDF,则后序遍历的结果为( )
A、
CBEFDA
B、
FEDCBA
C、
CBEDFA
D、
CEFBDA
【正确答案】:A
【题目解析】:
首先根据先序遍历和中序遍历构造出这个二叉树,然后再后序遍历该二叉树。

后序遍历(1)后序遍历左子树; (2)后序遍历右子树; (3)访问根结点。故该二叉树后序遍历的结果是:CBEFDA,故选A。
已知一棵二叉树的先序遍历结果为ABCDEF,中序遍历结果为CBAEDF,则后序遍历的结果为( )
CBEFDA
FEDCBA
CBEDFA
CEFBDA
首先根据先序遍历和中序遍历构造出这个二叉树,然后再后序遍历该二叉树。

后序遍历(1)后序遍历左子树; (2)后序遍历右子树; (3)访问根结点。故该二叉树后序遍历的结果是:CBEFDA,故选A。
📱 扫码体验刷题小程序
扫一扫使用我们的微信小程序