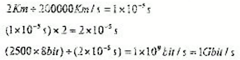
设长度为2Km的CSMA/CD局域网的最小帧长度为2500字节,信号传播速度为200000Km/s。试求出该局域网的数据传输速率

作者:高老师 浏览 1

设长度为2Km的CSMA/CD局域网的最小帧长度为2500字节,信号传播速度为200000Km/s。试求出该局域网的数据传输速率。
【正确答案】:

📱 扫码体验刷题小程序

微信小程序二维码

扫一扫使用我们的微信小程序

热门题目

已复制到剪贴板