若发送40字节的数据帧,从开始发送到收到确认帧的时间为120ms。设信道传播时延为20ms,采用停等协议,帧的控制信息、确认帧长

作者:高老师 浏览 0

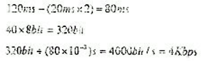
若发送40字节的数据帧,从开始发送到收到确认帧的时间为120ms。设信道传播时延为20ms,采用停等协议,帧的控制信息、确认帧长及帧处理时间均忽略不计。试求出数据传输速率。
【正确答案】:

📱 扫码体验刷题小程序

微信小程序二维码

扫一扫使用我们的微信小程序

热门题目

已复制到剪贴板