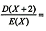
设随机变量X服从参数为λ的泊松分布(λ>0),则

作者:高老师 浏览 1

设随机变量X服从参数为λ的泊松分布(λ>0),则


A、1
B、
C、
D、λ
【正确答案】:A

📱 扫码体验刷题小程序

微信小程序二维码

扫一扫使用我们的微信小程序

热门题目

已复制到剪贴板