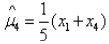
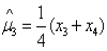
设为来自总体X的样本,且,记,,,,则的无偏估计是() 作者:高老师 时间:2025-11-03 浏览 0 设为来自总体X的样本,且,记,,,,则的无偏估计是()A、B、C、D、【正确答案】:A【题目解析】: 📱 扫码体验刷题小程序 扫一扫使用我们的微信小程序