翰林刷题,免费考试真题网站!
首页
关于我们
首页
›
分类
› 详情
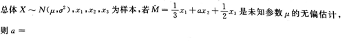
()
作者:高老师
时间:2024-07-29
浏览 1
()
A、1/2
B、1/3
C、1/6
D、1
【正确答案】:C
【题目解析】:
📱 扫码体验刷题小程序
扫一扫使用我们的微信小程序
热门题目
国际直接投资的方式有
企业为了解员工素质现状和问题而进行的人员素质测评类型是
( )是指同一薪酬等级中,薪酬最高值和最低值之间形成的该等级的薪酬变动范围。
布利斯堡浴品公司。布利斯堡浴品公司是成立于2012年的家族企业,主要生产手工天然沐浴产品,其中沐浴泡腾片最为畅销。该泡腾片由多种
采用分期收款方式销售商品时,确认收入的时间是()
市场经济条件下,企业生产经营的导向是( )
本期发生的下列业务中,会影响本期成本费用的是( )
「が」的片假名为( )
网络营销的特点不包括( )
简述在系统总体结构设计中,物理模型设计的基本要求。
下列古代小说开中国古代小说性格化人物之端的是()
诗句“采玉采玉须水碧,琢作步摇徒好色”出自唐代诗人李贺的()。
➕
➖
📋
⬆️
已复制到剪贴板