设样本( )。

作者:高老师 浏览 0

设样本( )。
【正确答案】:χ²(5)
【题目解析】:

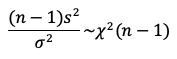
样本容量n=6,根据样本方差的抽样分布情况,可知,故5s²/σ²服从分布χ²(5)。


📱 扫码体验刷题小程序

微信小程序二维码

扫一扫使用我们的微信小程序

热门题目

已复制到剪贴板