翰林刷题,免费考试真题网站!
首页
关于我们
首页
›
分类
› 详情
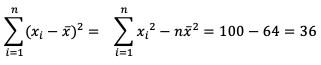
设( )
作者:高老师
时间:2024-07-28
浏览 1
设( )
【正确答案】:36
【题目解析】:
是偏差平方和,
📱 扫码体验刷题小程序
扫一扫使用我们的微信小程序
热门题目
货币的五种职能中最基本的是()。
主张“双赢”、“多赢”经营战略的理论是( )。
_______ down the television ─ our baby is sleeping in the next r
以下现象属于消费早熟产生的不利影响的是()
儿童的数概念的形成,经历的四个阶段分别是 ( )
习惯上,将依次发生、周而复始的以记录为主的会计处理过程称为()
发盘中规定的有效期届满,发盘
在OSI七层结构模型中,处于数据链路层与传输层之间的是( )
某企业拥有自己的运输部门。供应部门将提货单交给运输部门,运输部门将提货任务下达给司机。司机A与仓库保管员B达成合谋共识,A利用自
作业成本核算中,属于成本耗用分配重点的是( )
资料:某企业生产中每年需要A零件5000件,该零件即可以自制也可以外购。外购每件40元。该企业辅助车间有剩余生产能力可以自制,辅
➕
➖
📋
⬆️
已复制到剪贴板