翰林刷题,免费考试真题网站!
首页
关于我们
首页
›
分类
› 详情
作者:高老师
时间:2024-07-28
浏览 1
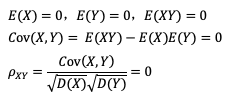
【正确答案】:
【题目解析】:
📱 扫码体验刷题小程序
扫一扫使用我们的微信小程序
热门题目
用于管理信息系统规划的方法很多。把企业目标转化为信息系统战略的规划方法属于()。
职业技能鉴定社会化管理体制它包括( )系统
某单位准备在7月份上马一个重大项目,该项目易受天气状况的影响,已知在天气好的状况下上马该项目将获益70%,在天气不好的情况下上马
带息应收票据贴现时,影响其贴现所得额的因素有
hit-and-run accident
软赤字的计算口径是
在“记忆训练对于社区老年人认知功能改善的研究中”中,干预措施具体是指
简述成人烧伤严重程度的分类。
在建的建筑工程因故终止施工的,建设单位应当自中止施工之日起 内向发证机关报告,报告内容包括中止施工的时间、原因、在施部位、维
社会流动的类型有()
以消费者的生活方式而言,消费者的生活方式往往会反映到消费者的心理需要与( )上。
世界各国中最早开设广告课程的大学是____。
➕
➖
📋
⬆️
已复制到剪贴板