该柜台每小时的平均销售情况E(Y)

作者:高老师 浏览 0



该柜台每小时的平均销售情况E(Y)
【正确答案】:



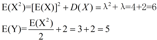
【题目解析】:(1)E(Y)=E(1/2X²)+E(2)=1/2E(X²)+2,故需要先求出E(X²)(2)泊松分布D(X)=E(X)=λ,故本题D(X)=E(X)=2(3)根据方差公式:D(X)=E(X²)-[E(X)]²,可知:E(X²)=[E(X)]²+D(X)=4+2=6(4)E(Y)=1/2E(X²)+2=3+2=5

📱 扫码体验刷题小程序

微信小程序二维码

扫一扫使用我们的微信小程序

热门题目

已复制到剪贴板