翰林刷题,免费考试真题网站!
首页
关于我们
首页
›
分类
› 详情
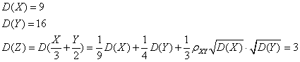
D(Z)
作者:高老师
时间:2024-07-28
浏览 2
求:
D(Z)
【正确答案】:
【题目解析】:
📱 扫码体验刷题小程序
扫一扫使用我们的微信小程序
热门题目
全行业公私合营阶段,对企业利润的分配实行()
下列属于19世纪初欧洲空想社会主义者的是()
How hurricanes (飓风) get their namesThe first people who gave nam
股票股利发放后引起的后果是()
内部控制
Complete the following sentence with a (compound) word derived f
结合利率作用理论,试述我国实行利率市场化改革的原因和进程。
无形资产成新率的估算方法主要有
试述赫一俄理论的内容,并加以分析。
请指出长期股权投资核算方法的选择标准及核算特点
慢性肾小球肾炎患者的血尿多为____________血尿。
慢性肾衰竭处于氮质血症期的患者,饮食护理措施正确的是
➕
➖
📋
⬆️
已复制到剪贴板