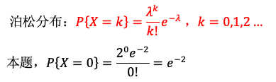
X~P(2),那么P{X=0}=____________.

作者:高老师 浏览 0

X~P(2),那么P{X=0}=____________.
【正确答案】:



【题目解析】:

📱 扫码体验刷题小程序

微信小程序二维码

扫一扫使用我们的微信小程序

热门题目

已复制到剪贴板