作者:高老师 浏览 1




【正确答案】:




【题目解析】:

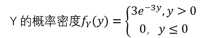
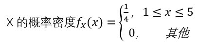
根据均匀分布直接写出X的概率密度根据指数分布的定义,直接写出Y的概率密度:


📱 扫码体验刷题小程序

微信小程序二维码

扫一扫使用我们的微信小程序

热门题目

已复制到剪贴板