翰林刷题,免费考试真题网站!
首页
关于我们
首页
›
分类
› 详情
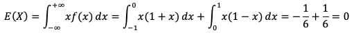
E(X)
作者:高老师
时间:2024-07-28
浏览 1
求:
E(X)
【正确答案】:
【题目解析】:
📱 扫码体验刷题小程序
扫一扫使用我们的微信小程序
热门题目
道德对现实生活的调节方式与法律有着明显的区别,其中一个重要表现是( )
前面心理活动的经验,对于随后进行的心理活动反应有习惯化与倾向性影响,这是( )。
某幼儿园李老师设计了这么一个游戏情境:老师扮演“鸡妈妈”,小朋友们戴上头饰当“小鸡”,“鸡妈妈”领着“小鸡”们到小猫家串门,小猫
____不是具体的操作性的管理制度,而是反映园所管理的基本价值取向、园所发展方向、人员素质与精神风貌的长远要求所规定的制度。
直接材料价格差异
交叉存储器实质上是一种模块式存储器,它能()执行()独立的读写操作。
In Oscar Wilde s masterpiece ______. he expressed a satirical an
若A、B相似,则下列说法错误的是
企业在决定为多少子市场服务,即确定其目标市场战略时,有三种选择,包括( )
多计成本,会造成()
简述责任成本和产品成本的区别和联系。
江湖诗派
➕
➖
📋
⬆️
已复制到剪贴板