翰林刷题,免费考试真题网站!
首页
关于我们
首页
›
分类
› 详情
作者:高老师
时间:2024-07-28
浏览 0
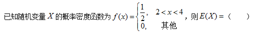
A、6
B、3
C、1
D、1/2
【正确答案】:B
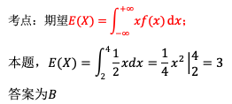
【题目解析】:
📱 扫码体验刷题小程序
扫一扫使用我们的微信小程序
热门题目
从财务风险的角度分析,当融资产生的利润大于债息率时,给股东带来的效应是( )。
在管理活动中,管理者都要承担诸多职能,包括计划、组织和
《秋夜》一文出自鲁迅文集中的( )
《亡灵书》
在设计艺术美中,和谐美表现为两个原则,一是_____,二是_____。
Only those who created the worth of mind, merit our forever( ).
请列举至少五种不同类型的网络广告。
线性规划问题若有最优解,则它必定是某个基变量组的____。
性能评价着重评价系统的__,一般包括应用系统的技术特性指标、可能性指标等。()
混合成本分解中,常用的历史成本分析法有.
系统性红斑狼疮的典型皮疹是______。
甲的丈夫乙自1995年1月外出打工后一直下落不明,2001年经甲申请,法院依法判决宣告乙死亡。不久,甲、乙二人的女儿丙由丁合法收
➕
➖
📋
⬆️
已复制到剪贴板