翰林刷题,免费考试真题网站!
首页
关于我们
首页
›
分类
› 详情
求E(X)
作者:高老师
时间:2024-07-28
浏览 1
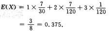
若随机变量X的分布律为
求E(X)
【正确答案】:
【题目解析】:
📱 扫码体验刷题小程序
扫一扫使用我们的微信小程序
热门题目
李大钊最先在中国大地率先举起马克思主义旗帜,以下不是他的作品的是( )。
1898年发表《劝学篇》一文,对抗维新变法的洋务派官僚是( )
新生事物是不可战胜的,区分新旧事物的根本标志在于它是否
下列选项属于企业进行业务分拆的弊端的是( )
马克思主义认为,除了人间社会之外并不存在什么神灵的世界或天堂地狱,因而人应该在这个唯一的现实世界中追求有意义的人生,而不是离开社
艺术鉴赏
烫伤处理方法的第一步应是
采用CFR Ex Tacke(CFR吊钩下交接)成交时,当船舶不能靠岸时,驳船费用由
若一棵具有n(n >0)个结点的二叉树的先序序列与后序序列正好相反,则该二叉树一定是
通常将计算机网络中连接两个结点的直接链路称为_____。
Some people in the group complained that their tour( )better org
在现时成本会计中的财务资本维护观念下,“增补折旧费”账户属于______账户。()
➕
➖
📋
⬆️
已复制到剪贴板