翰林刷题,免费考试真题网站!
首页
关于我们
首页
›
分类
› 详情
作者:高老师
时间:2024-07-28
浏览 0
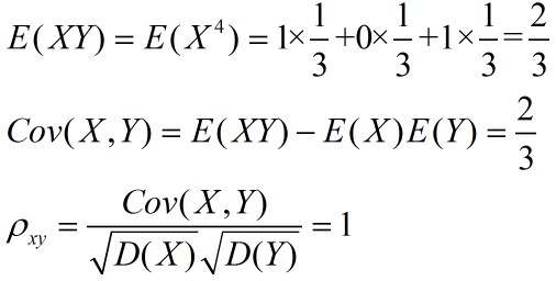
【正确答案】:
【题目解析】:
📱 扫码体验刷题小程序
扫一扫使用我们的微信小程序
热门题目
资本主义银行的利润率一般应相当于( )。
Remaining ActiveOur body is an amazing object,(26)_____If you ar
“惟有长江水,无语东流”的言外之意是什么?
不视为侵犯专利权的情形有哪些?
标志创意
支付员工工资的报酬形式有哪些?
下列各项税费,不在“应交税费”科目核算的是()
短期借款账户贷方核算的内容是( )
主体内部反映客观事物的审美特性及其相互联系的心理活动结构叫( )
不符合游戏活动教育化的是
3岁以下婴幼儿玩具直径不可
下列哪项不是理论的要素( )。
➕
➖
📋
⬆️
已复制到剪贴板