翰林刷题,免费考试真题网站!
首页
关于我们
首页
›
分类
› 详情
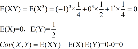
Cov( X,Y )
作者:高老师
时间:2024-07-28
浏览 2
,试求:
Cov( X,Y )
【正确答案】:
【题目解析】:
📱 扫码体验刷题小程序
扫一扫使用我们的微信小程序
热门题目
()是指对复杂事物的洞察、分析、判断、抽象和概括的能力。
人们在确立理想和追求理想的过程中,总会感受到理想与现实的矛盾,对于理想与现实的矛盾,正确的认识和态度是()
(舞)幽壑之潜蛟,(泣)孤舟之(嫠妇)
《冯谖客孟尝君》所载冯谖事迹中,为孟尝君“市义”的是
薪酬级差的确定方法中,下列不属于等级系数的是( )。
日本丰田汽车公司成立于20世纪30年代末,公司有8个工厂,职工人数达45000人,生产的产品主要是汽车部件,包括钢铁、有色制品、
角色游戏
依据概念外延的大小,可将概念分为_____________ 、单独概念和普遍概念。
与“所有的科学家都是天生聪明的”这一判断的负判断相等值的判断是
简述刘白羽散文的艺术特色。
关于羊水栓塞的预防措施,下列描述错误的是
人员配备,通常称为人力资源管理是对组织中( )的配备。
➕
➖
📋
⬆️
已复制到剪贴板