翰林刷题,免费考试真题网站!
首页
关于我们
首页
›
分类
› 详情
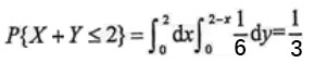
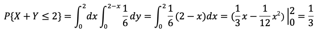
求P{X+Y≤2}
作者:高老师
时间:2024-07-28
浏览 0
求P{X+Y≤2}
【正确答案】:
【题目解析】:
积分区域如下图:
📱 扫码体验刷题小程序
扫一扫使用我们的微信小程序
热门题目
名词解释:客户服务代理
根据网上购物者购物的特点,一般可将网上购物类型分为()。
现代企业招聘理念包括()
龚自珍告诫我们:“欲知大道,( )
( )是指企事业单位、社会团体及其他社会组织和公民个人利用非国家财政性教育经费,面向社会举办的学校及其他教育机构。
依据信息的传递方向不同,沟通可分为
假定某人花8000元买了一年期,利息率为4%,面值为9000元的国债,则该国债的到期收益率为()
微观经济学的中心理论是()
佐藤さんのおたくでは,いつも中華料理ですか。()
从总量调节出发,货币政策可以分为()
与逐步结转分步法相比,平行结转分步法的缺点是( )。
➕
➖
📋
⬆️
已复制到剪贴板