设二维随机变量(X,Y)的概率密度则( )

作者:高老师 浏览 0

设二维随机变量(X,Y)的概率密度( )


A、1/16
B、1/4
C、9/16
D、1
【正确答案】:B
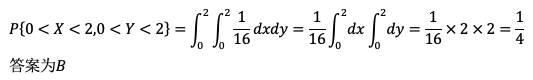
【题目解析】:

📱 扫码体验刷题小程序

微信小程序二维码

扫一扫使用我们的微信小程序

热门题目

已复制到剪贴板