作者:高老师 浏览 0


A、1/2
B、1
C、3/2
D、2
【正确答案】:D
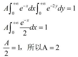
【题目解析】:f(x,y)在(-∞,+∞)上的积分应为1本题计算过程如下:答案为D。

📱 扫码体验刷题小程序

微信小程序二维码

扫一扫使用我们的微信小程序

热门题目

已复制到剪贴板