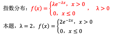
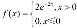
X~E(2),则X的概率密度为________________. 作者:高老师 时间:2024-07-28 浏览 0 X~E(2),则X的概率密度为________________.【正确答案】:【题目解析】: 📱 扫码体验刷题小程序 扫一扫使用我们的微信小程序