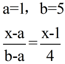
设随机变量X服从区间[1,5]上的均匀分布,F(x)为X的分布函数,当1≤x≤5时,F(x)=( )。

作者:高老师 浏览 0

设随机变量X服从区间[1,5]上的均匀分布,F(x)为X的分布函数,当1≤x≤5时,F(x)=( )。
【正确答案】:(X-1)/4
【题目解析】:

📱 扫码体验刷题小程序

微信小程序二维码

扫一扫使用我们的微信小程序

热门题目

已复制到剪贴板