翰林刷题,免费考试真题网站!
首页
关于我们
首页
›
分类
› 详情
求
作者:高老师
时间:2024-07-28
浏览 0
求
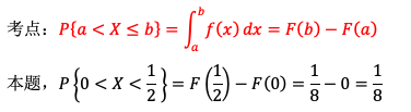
【正确答案】:
P{0<X<1/2}=1/8
【题目解析】:
📱 扫码体验刷题小程序
扫一扫使用我们的微信小程序
热门题目
将出城,抽矢射佛寺浮图,矢著其上砖半箭
幼儿园是对幼儿集中保育和教育的机构,古时称( )
超常儿童不仅比一般儿童学东西快,而且在学习方式上也有所不同,他们建立性强,在掌握自己感兴趣的领域的知识时很少需要成人的帮的和扶持
其它条件不变的情况下,产品的单位变动成本增加,则其贡献毛益率( )
题干和原文一致的请选择〇,不一致的请选择X,(在正式考试中,需要手写〇或者X)相手の部屋でコッブを割ってしまった場合、「申し訳あ
汉译英:Translate the following sentences into English and write the
If you were designing a new luxury car, how would you make it st
数据库系统的一个目标是使用户简单、方便、容易地存取数据,不必关心数据库的_____和具体实现方式。
代码设计是实现信息管理的一个前提条件,其主要任务就是要提供给信息系统所需使用的____。
设随机变量
下列各项中,在计算应纳税所得额时允许在税前扣除的是
在VisualFoxPro中为学生表XS.DBF建立视图ST,其中包含职称字段ZC和姓名字段XM。请写出命令语句。
➕
➖
📋
⬆️
已复制到剪贴板