P{2<X<3}。

作者:高老师 浏览 1

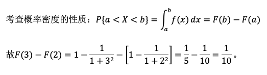
设随机变量X的分布函数为
求:
P{2【正确答案】:

P{2<X<3}=F(3)-F(2)=1-1/(1+9)-[1-1/(1+4)]=1/10


【题目解析】:

📱 扫码体验刷题小程序

微信小程序二维码

扫一扫使用我们的微信小程序

热门题目

已复制到剪贴板