翰林刷题,免费考试真题网站!
首页
关于我们
首页
›
分类
› 详情
E(X)、D(X)
作者:高老师
时间:2024-07-28
浏览 0
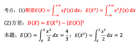
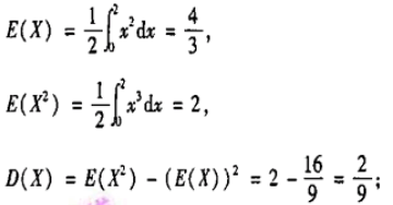
试求:
E(X)、D(X)
【正确答案】:
【题目解析】:
📱 扫码体验刷题小程序
扫一扫使用我们的微信小程序
热门题目
中共八大提出的政治建设方针有:
苏维埃国家开始实行“新经济政策”是在( )
证券投资顾问业务与证券经纪业务的差异有( )。Ⅰ.具有不同的功能和要素Ⅱ.是否收取专门投资顾问服务报酬Ⅲ.是否取得投资顾问资格Ⅳ
从激发人类行为动机的角度来研究激励问题的是()
公债是由政府发行的一种长期债券,所筹资金主要用于弥补财政赤字和其他非生产性开支。
取得交易性金融资产时发生的交易費用,应计入
一般情况下,速遣费是滞期费的
ξ与η的相关系数ρξη=0,表示ξ与η()
A国从B国进口某批货物,该批货物经由c国运往A国,则以下说法中正确的是()
我国现行《企业会计准则》中的会计科目编号采用的方法是
控制危险因素属于心脑血管疾病预防的
ICN确定2010年“护士节”的主题是()
➕
➖
📋
⬆️
已复制到剪贴板