翰林刷题,免费考试真题网站!
首页
关于我们
首页
›
分类
› 详情
作者:高老师
时间:2024-07-28
浏览 0
,求:
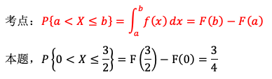
【正确答案】:
【题目解析】:
📱 扫码体验刷题小程序
扫一扫使用我们的微信小程序
热门题目
京沪、京九、京广三条南北铁路干线都经过的省区是()
在传统的薪酬支付结构中,基薪部分大多是以工作职位为基础支付的,并根据()作定期或不定期的调整。
某经营者准备开设一家健身中心,就消费者权利和义务作出如下规定,其中符合法律要求的一项是( )
能力要素构建的方法有( )。
金融衍生工具中市场风险最高的是()
日本第一部和歌总集是( )
在劳动组织中,处于主体地位的是()
对托幼机构的心理社会环境的创设起着重要作用的社会文化环境主要包括( )和社区环境。
Many people have a _____. Some need glasses to read,or do not he
当变动成本上涨,其他因素不变时,下列叙述正确的是
一定时期内,当一国的进口总额大于出口总额时称为( )
下列人物出自鲁迅小说《阿Q正传》的有()。
➕
➖
📋
⬆️
已复制到剪贴板