翰林刷题,免费考试真题网站!
首页
关于我们
首页
›
分类
› 详情
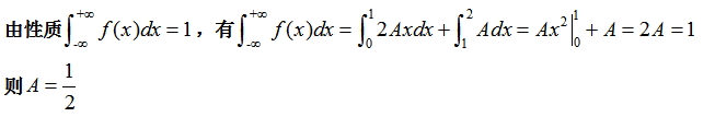
系数A。
作者:高老师
时间:2024-07-28
浏览 1
,求:
系数A。
【正确答案】:
【题目解析】:
📱 扫码体验刷题小程序
扫一扫使用我们的微信小程序
热门题目
最优资本结构
简述金融市场的全球化对发达资本主义国家的影响。
请简述高速发展的行业的特征。
在学校课程与社会生活的关系问题上,认为“教育与社会是互动的、有机统一的,学校课程不仅适应着社会生活,而且还不断改造着社会生活”,
分析幼儿想象具有这种特点的原因
税收征管工作的核心是()
下列各项中,不影响营业利润的是
某企业为增值税一般纳税人,本月有关业务如下:(1)购入原材料总额为220万元,支付增值税为37.4万元,取得增值税专用发票,款项
企业销售商品交纳的下列各项税费,计入“营业税金及附加”科目的有( )。
全部成本法将企业的成本分为
Questions and Answers :Give a brief answer to each of the follow
在存在全资子公司的情况下,母公司投资收益进行抵销时,与贷记“提取盈余公积”“应付股利”“未分配利润——年末”项目对应的借记项目有
➕
➖
📋
⬆️
已复制到剪贴板