翰林刷题,免费考试真题网站!
首页
关于我们
首页
›
分类
› 详情
求系数A
作者:高老师
时间:2024-07-28
浏览 1
求系数A
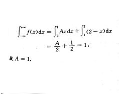
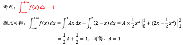
【正确答案】:
【题目解析】:
📱 扫码体验刷题小程序
扫一扫使用我们的微信小程序
热门题目
下列不属于1948年9月至1949年1月中国人民解放军发动的重大战役的是()
Life on the FarmLife on the farm is always changing. New technol
试述团队沟通的影响因素。
绝对优势和比较优势理论解释了国际贸易的起因。请回答下列问题:(1)阐述比较优势理论。(10分)(2)根据比较优势理论,分析国际贸
将儿童的亲子依恋类型分为回避型、安全型、反抗型,该结论是通过什么实验得到的?
注册会计师认为财务报表没有按照适用的会计准则和相关会计制度的规定编制,未能在所有重大方面公允反映被审计单位的财务状况、经营成果和
进口商必须向政府有关当局提出申请,经政府有关当局逐笔审查批准后才能进口的是指()
《反补贴协议》中的补贴是指( )
肺动脉高压形成的相关因素包括
某研究者撰写了一篇研究论文,准备对参考文献进行正确的书写。请你根据参考文献的正确书写格式帮助他对下面的两条参考文献进行书写。[1
下面关于文件共享的说法中正确的是()
甄选是指综合利用心理学、管理学等学科的( ) 对应聘者的任职资格、工作胜任程度等进行测量和评价到录用的过程。
➕
➖
📋
⬆️
已复制到剪贴板