翰林刷题,免费考试真题网站!
首页
关于我们
首页
›
分类
› 详情
_____________
作者:高老师
时间:2024-07-28
浏览 1
_____________
【正确答案】:
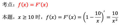
【题目解析】:
📱 扫码体验刷题小程序
扫一扫使用我们的微信小程序
热门题目
世界格局多极化趋势发展过程中的重要特征是()
影响资本积累的因素是()
下列不属于工作标准化的具体方式的是( )。
苹果计算机iMAC操纵台基本上由____完成,他是1996以来苹果公司的____。
哪一项个人情况不可能包括在申请表中?()
哪一项最准确地描述了组织开发这个词()
社会再生产过程的起点是( )
名词解释:学前游戏评价
金穗卡的使用期限为
下列选项中,不属于插入排序方法的是()
对于跨国营业所得征税权冲突的协调,国际上普遍采用( )
想象活动的高级形式包括
➕
➖
📋
⬆️
已复制到剪贴板