翰林刷题,免费考试真题网站!
首页
关于我们
首页
›
分类
› 详情
作者:高老师
时间:2024-07-28
浏览 0
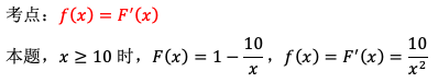
【正确答案】:
【题目解析】:
📱 扫码体验刷题小程序
扫一扫使用我们的微信小程序
热门题目
理性认识的基本形式有()。
企业的法定代表人以法人名义进行经营活动所产生的民事责任的承担者是( )
简述幼儿社会性学习指导的原则。
在教师的指导下,儿童有目的地感知客观事物,发展观察力的方法是
试述使用学前儿童膳食宝塔时的注意事项。
在使用表上作业法解决问题的时候,求检验数检验初始调运方案是否最优方案时使用的方法是( )
对于以人民币作为记账本位币的企业,下列交易或事项中,不属于外币交易的是( )。
流动资产转换为现金所需要的时间即我们通常所说的
注册会计师执业准则对注册会计师进行严格规定的项目包括()
如果会计师事务所收费报价明显低于前任注册会计师或其他会计师事务所的相应报价,会计师事务所应当确保()
在拖拉机的国际生产和分工中,英国着重发展中型轮式拖拉机,德国主要生产小功率轮式拖拉机,这种分工属于()
达成有法律约束力的合同不可缺少的环节有
➕
➖
📋
⬆️
已复制到剪贴板