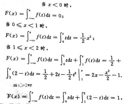
求X的分布函数F(x) 作者:高老师 时间:2024-07-28 浏览 0 求X的分布函数F(x)【正确答案】:【题目解析】:分布函数F(x)等于概率密度函数f(x)的积分,此题根据x在不同的区间内对应的f(x)可求得该区间内的F(x) 📱 扫码体验刷题小程序 扫一扫使用我们的微信小程序