翰林刷题,免费考试真题网站!
首页
关于我们
首页
›
分类
› 详情
作者:高老师
时间:2024-07-28
浏览 0
A、0.5
B、0.6
C、0.66
D、0.7
【正确答案】:C
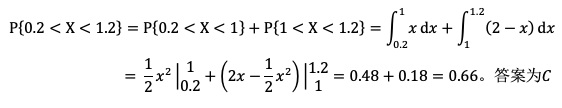
【题目解析】:
📱 扫码体验刷题小程序
扫一扫使用我们的微信小程序
热门题目
五四时期,研究和宣传马克思主义的社团有
简述法的规范作用。
下列哪种情况应全额计提坏账准备()
对学前智力落后儿童的智力测验,我们常常采用的是
持产利得
简述班轮运输的特点。
Which of the following statements about Washington Irving is NOT
设(X,Y)为二维随机变量,且D(X)>0,D(Y)>0,为X与Y的相关系数,则( )
会计规范体系中,属于会计行政法规内容的是
国际贸易中用以表示交易双方风险、责任和费用划分及商品价格构成的专门术语称为
下列词作中,被誉为《饮水词》压卷之作的是( )
性灵说
➕
➖
📋
⬆️
已复制到剪贴板