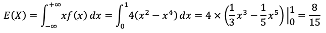
X的数学期望E(X)。

作者:高老师 浏览 0

设随机变量X的概率密度为求:
X的数学期望E(X)。
【正确答案】:



【题目解析】:本题:

📱 扫码体验刷题小程序

微信小程序二维码

扫一扫使用我们的微信小程序

热门题目

已复制到剪贴板