翰林刷题,免费考试真题网站!
首页
关于我们
首页
›
分类
› 详情
常数a,b
作者:高老师
时间:2024-07-28
浏览 0
常数a,b
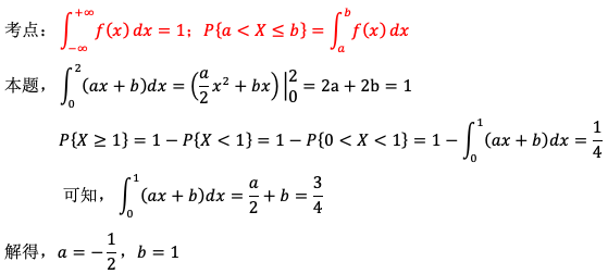
【正确答案】:
【题目解析】:
📱 扫码体验刷题小程序
扫一扫使用我们的微信小程序
热门题目
企业在编制年度报告前, 应当进行必要的资产清查、减值测试和( )。
理想与现实本来就是一对矛盾,它们是对立统一的关系。其中,统一性表现在( )。
抽取样本的方法包括简单随机抽样、 、分层随机抽样。
财政专户管理资金结余科目年终贷方余额反映政府财政纳入财政专户管理的资金收支相抵后的滚存结余。
His muscles are firmest and his () colds and infections is highe
Correct or improve the translation of the following Chinese sent
Questions and Answers:Give a brief answer to each of the followi
设A是n阶矩阵,O是n阶零矩阵,且A2-E=O,则必有( ).
下列各项中,属于资本公积的内容有()
美国《1988年综合贸易与竞争法》中关于知识产权保护的专项条款是()
➕
➖
📋
⬆️
已复制到剪贴板