设随机变量x服从泊松分布,且已知 P{X=1}=P{X=2} ,则P{X=3}=( )。

作者:高老师 浏览 1

设随机变量x服从泊松分布,且已知 P{X=1}=P{X=2} ,则P{X=3}=( )。
A、
B、
C、
D、
【正确答案】:D
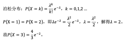
【题目解析】:

📱 扫码体验刷题小程序

微信小程序二维码

扫一扫使用我们的微信小程序

热门题目

已复制到剪贴板