每次投掷时出现反面的概率.

作者:高老师 浏览 0

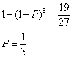
重复投掷一枚不均匀的硬币3次,若至少出现一次反面的概率为19/27.求:
每次投掷时出现反面的概率.
【正确答案】:



【题目解析】:

📱 扫码体验刷题小程序

微信小程序二维码

扫一扫使用我们的微信小程序

热门题目

已复制到剪贴板