求从乙盒中取出的是2个黑球的概率
【正确答案】:

【题目解析】:
有两种情况:(1)从甲盒中取出一个白球放入乙盒,此时乙盒中有4白2黑,从乙盒中取出2个黑球的概率:
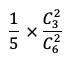
(2)从甲盒中取出一个黑球放入乙盒,此时乙盒中有3白3黑,从乙盒中取出2个黑球的概率:
故从乙盒中取出的是2个黑球的概率:

有两种情况:(1)从甲盒中取出一个白球放入乙盒,此时乙盒中有4白2黑,从乙盒中取出2个黑球的概率:
(2)从甲盒中取出一个黑球放入乙盒,此时乙盒中有3白3黑,从乙盒中取出2个黑球的概率:
故从乙盒中取出的是2个黑球的概率:
📱 扫码体验刷题小程序
扫一扫使用我们的微信小程序