翰林刷题,免费考试真题网站!
首页
关于我们
首页
›
分类
› 详情
作者:高老师
时间:2024-07-28
浏览 0
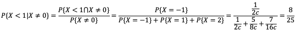
A、4/25
B、8/25
C、12/25
D、16/25
【正确答案】:B
【题目解析】:
答案为B。
📱 扫码体验刷题小程序
扫一扫使用我们的微信小程序
热门题目
在垄断资本主义阶段,占统治地位的资本是( )。
The connection between reading and writing is a strong and impor
幼儿园教育评价的功能。
德国私立幼儿园组织主办者是( )
蒙台梭利认为在设计儿童的活动材料时,应该使每一种"工作材料"都能满足儿童内在的发展需求。这一原则是
下列限制中正确的是
“控告”这种关系是
The novel ( )is regarded to be a more profoundly ordered one tha
与短期股票投资相比,长期股权投资的特点是()
共同市场理论的核心是 ( )
名句“昔我往矣,杨柳依依。今我来思,雨雪霏霏”出自《诗经》中的
在“这道题我们做过”这个语言片段中,“这道题”和“我们做过”的性质是
➕
➖
📋
⬆️
已复制到剪贴板