翰林刷题,免费考试真题网站!
首页
关于我们
首页
›
分类
› 详情
作者:高老师
时间:2024-07-28
浏览 0
A、0.1
B、0.2
C、0.3
D、0.4
【正确答案】:B
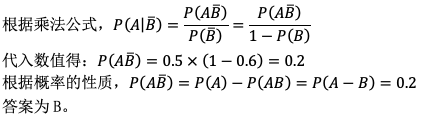
【题目解析】:
📱 扫码体验刷题小程序
扫一扫使用我们的微信小程序
热门题目
社会资本再生产的核心问题是社会总产品的()
货币转化为资本的前提条件是()。
请写出计算机网络的3种交换方式。
某企业在营销过程中,以提高顾客满意度为追求,以员工共识的价值观为基础,以确立品牌文化寻求顾客所接受的价值信念为立业之本。企业的这
试比较政体与政权的组织形式的关系。
管理方格理论认为,俱乐部型领导者只关心生产,而不关心人。
从自然属性看,消费过程的要素包括
编制收到残料变价收入的会计分录
按照主体不同,审计可以划分为
下列属于记账型国际金融中心的是()
Who’s the author of the quoted part, and what’s the title of the
同步时序电路和异步时序电路的主要区别是
➕
➖
📋
⬆️
已复制到剪贴板