设有10件产品,其中8件正品,2件次品,每次从这批产品中任取1件,取出的产品不放回,设X为直至取得正品为止所需抽取的次数,求X的

作者:高老师 浏览 1

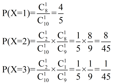
设有10件产品,其中8件正品,2件次品,每次从这批产品中任取1件,取出的产品不放回,设X为直至取得正品为止所需抽取的次数,求X的分布律.
【正确答案】:




【题目解析】:

📱 扫码体验刷题小程序

微信小程序二维码

扫一扫使用我们的微信小程序

热门题目

已复制到剪贴板