某生产车间随机抽取9件同型号的产品进行直径测量,得到结果是:21.54, 21.63, 21.62, 21.96, 21.42,

作者:高老师 浏览 1

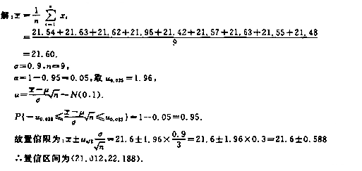
某生产车间随机抽取9件同型号的产品进行直径测量,得到结果是:21.54, 21.63, 21.62, 21.96, 21.42, 21.57, 21.63, 21.55, 21.48
根据长期经验,该产品的直径服从正态分布N(μ,0.9(上标2)),试求出该产品的直径μ的置信度为0.95的置信区间.(μ(下标0.025)=1.96, μ(下标0.05) =1.645)(精确到小数点后三位)
【正确答案】:

📱 扫码体验刷题小程序

微信小程序二维码

扫一扫使用我们的微信小程序

热门题目

已复制到剪贴板