翰林刷题,免费考试真题网站!
首页
关于我们
首页
›
分类
› 详情
作者:高老师
时间:2024-07-28
浏览 1
A、见上
B、见上
C、见上
D、见上
【正确答案】:D
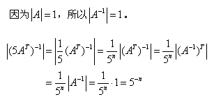
【题目解析】:
【答案解析】
📱 扫码体验刷题小程序
扫一扫使用我们的微信小程序
热门题目
试述量变和质变辩证关系的原理及其现实意义。
与广告策划相比,广告计划的侧重点在于( )。
对思维对象有所断定的思维形式叫______。
化丑为美
注册会计师在进行符合性测试时,应关注的抽样风险有()
在主存和CPU之间增加Cache的目的是( )
How do you understand the White Whale or Moby Dick in Herman Mel
“北地三才”指的是
《人间词话》
教师将事先整理好的复习内容直接向学生进行讲授的教师指导复习方法是
诗篇《九月九日忆山东兄弟》的作者是()。
张先《天仙子》一词的小序“时为嘉禾小悴”,“嘉禾”是地名,在今()
➕
➖
📋
⬆️
已复制到剪贴板